Как складываются степени с разными основаниями. Сложение, вычитание, умножение, и деление степеней. Свойства степеней с целыми показателями
Рассмотрим тему преобразования выражений со степенями, но прежде остановимся на ряде преобразований, которые можно проводить с любыми выражениями, в том числе со степенными. Мы научимся раскрывать скобки, приводить подобные слагаемые, работать с основанием и показателем степени, использовать свойства степеней.
Что представляют собой степенные выражения?
В школьном курсе мало кто использует словосочетание «степенные выражения», зато этот термин постоянно встречается в сборниках для подготовки к ЕГЭ. В большинства случаев словосочетанием обозначаются выражения, которые содержат в своих записях степени. Это мы и отразим в нашем определении.
Определение 1
Степенное выражение – это выражение, которое содержит степени.
Приведем несколько примеров степенных выражений, начиная со степени с натуральным показателем и заканчивая степенью с действительным показателем.
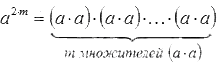
Самыми простыми степенными выражениями можно считать степени числа с натуральным показателем: 3 2 , 7 5 + 1 , (2 + 1) 5 , (− 0 , 1) 4 , 2 2 3 3 , 3 · a 2 − a + a 2 , x 3 − 1 , (a 2) 3 . А также степени с нулевым показателем: 5 0 , (a + 1) 0 , 3 + 5 2 − 3 , 2 0 . И степени с целыми отрицательными степенями: (0 , 5) 2 + (0 , 5) - 2 2 .
Чуть сложнее работать со степенью, имеющей рациональный и иррациональный показатели: 264 1 4 - 3 · 3 · 3 1 2 , 2 3 , 5 · 2 - 2 2 - 1 , 5 , 1 a 1 4 · a 1 2 - 2 · a - 1 6 · b 1 2 , x π · x 1 - π , 2 3 3 + 5 .
В качестве показателя может выступать переменная 3 x - 54 - 7 · 3 x - 58 или логарифм x 2 · l g x − 5 · x l g x .
С вопросом о том, что такое степенные выражения, мы разобрались. Теперь займемся их преобразованием.
Основные виды преобразований степенных выражений
В первую очередь мы рассмотрим основные тождественные преобразования выражений, которые можно выполнять со степенными выражениями.
Пример 1
Вычислите значение степенного выражения 2 3 · (4 2 − 12) .
Решение
Все преобразования мы будем проводить с соблюдением порядка выполнения действий. В данном случае начнем мы с выполнения действий в скобках: заменим степень на цифровое значение и вычислим разность двух чисел. Имеем 2 3 · (4 2 − 12) = 2 3 · (16 − 12) = 2 3 · 4 .
Нам остается заменить степень 2 3 ее значением 8 и вычислить произведение 8 · 4 = 32 . Вот наш ответ.
Ответ: 2 3 · (4 2 − 12) = 32 .
Пример 2
Упростите выражение со степенями 3 · a 4 · b − 7 − 1 + 2 · a 4 · b − 7 .
Решение
Данное нам в условии задачи выражение содержит подобные слагаемые, которые мы можем привести: 3 · a 4 · b − 7 − 1 + 2 · a 4 · b − 7 = 5 · a 4 · b − 7 − 1 .
Ответ: 3 · a 4 · b − 7 − 1 + 2 · a 4 · b − 7 = 5 · a 4 · b − 7 − 1 .
Пример 3
Представьте выражение со степенями 9 - b 3 · π - 1 2 в виде произведения.
Решение
Представим число 9 как степень 3 2 и применим формулу сокращенного умножения:
9 - b 3 · π - 1 2 = 3 2 - b 3 · π - 1 2 = = 3 - b 3 · π - 1 3 + b 3 · π - 1
Ответ: 9 - b 3 · π - 1 2 = 3 - b 3 · π - 1 3 + b 3 · π - 1 .
А теперь перейдем к разбору тождественных преобразований, которые могут применяться именно в отношении степенных выражений.
Работа с основанием и показателем степени
Степень в основании или показателе может иметь и числа, и переменные, и некоторые выражения. Например, (2 + 0 , 3 · 7) 5 − 3 , 7 и . Работать с такими записями сложно. Намного проще заменить выражение в основании степени или выражение в показателе тождественно равным выражением.
Проводятся преобразования степени и показателя по известным нам правилам отдельно друг от друга. Самое главное, чтобы в результате преобразований получилось выражение, тождественное исходному.
Цель преобразований – упростить исходное выражение или получить решение задачи. Например, в примере, который мы привели выше, (2 + 0 , 3 · 7) 5 − 3 , 7 можно выполнить действия для перехода к степени 4 , 1 1 , 3 . Раскрыв скобки, мы можем привести подобные слагаемые в основании степени (a · (a + 1) − a 2) 2 · (x + 1) и получить степенное выражение более простого вида a 2 · (x + 1) .
Использование свойств степеней
Свойства степеней, записанные в виде равенств, являются одним из главных инструментов преобразования выражений со степенями. Приведем здесь основные из них, учитывая, что a и b – это любые положительные числа, а r и s - произвольные действительные числа:
Определение 2
- a r · a s = a r + s ;
- a r: a s = a r − s ;
- (a · b) r = a r · b r ;
- (a: b) r = a r: b r ;
- (a r) s = a r · s .
В тех случаях, когда мы имеем дело с натуральными, целыми, положительными показателями степени, ограничения на числа a и b могут быть гораздо менее строгими. Так, например, если рассмотреть равенство a m · a n = a m + n , где m и n – натуральные числа, то оно будет верно для любых значений a , как положительных, так и отрицательных, а также для a = 0 .
Применять свойства степеней без ограничений можно в тех случаях, когда основания степеней положительные или содержат переменные, область допустимых значений которых такова, что на ней основания принимают лишь положительные значения. Фактически, в рамках школьной программы по математике задачей учащегося является выбор подходящего свойства и правильное его применение.
При подготовке к поступлению в Вузы могут встречаться задачи, в которых неаккуратное применение свойств будет приводить к сужению ОДЗ и другим сложностям с решением. В данном разделе мы разберем всего два таких случая. Больше информации по вопросу можно найти в теме «Преобразование выражений с использованием свойств степеней».
Пример 4
Представьте выражение a 2 , 5 · (a 2) − 3: a − 5 , 5 в виде степени с основанием a .
Решение
Для начала используем свойство возведения в степень и преобразуем по нему второй множитель (a 2) − 3 . Затем используем свойства умножения и деления степеней с одинаковым основанием:
a 2 , 5 · a − 6: a − 5 , 5 = a 2 , 5 − 6: a − 5 , 5 = a − 3 , 5: a − 5 , 5 = a − 3 , 5 − (− 5 , 5) = a 2 .
Ответ: a 2 , 5 · (a 2) − 3: a − 5 , 5 = a 2 .
Преобразование степенных выражений согласно свойству степеней может производиться как слева направо, так и в обратном направлении.
Пример 5
Найти значение степенного выражения 3 1 3 · 7 1 3 · 21 2 3 .
Решение
Если мы применим равенство (a · b) r = a r · b r , справа налево, то получим произведение вида 3 · 7 1 3 · 21 2 3 и дальше 21 1 3 · 21 2 3 . Сложим показатели при умножении степеней с одинаковыми основаниями: 21 1 3 · 21 2 3 = 21 1 3 + 2 3 = 21 1 = 21 .
Есть еще один способ провести преобразования:
3 1 3 · 7 1 3 · 21 2 3 = 3 1 3 · 7 1 3 · (3 · 7) 2 3 = 3 1 3 · 7 1 3 · 3 2 3 · 7 2 3 = = 3 1 3 · 3 2 3 · 7 1 3 · 7 2 3 = 3 1 3 + 2 3 · 7 1 3 + 2 3 = 3 1 · 7 1 = 21
Ответ: 3 1 3 · 7 1 3 · 21 2 3 = 3 1 · 7 1 = 21
Пример 6
Дано степенное выражение a 1 , 5 − a 0 , 5 − 6 , введите новую переменную t = a 0 , 5 .
Решение
Представим степень a 1 , 5 как a 0 , 5 · 3 . Используем свойство степени в степени (a r) s = a r · s справа налево и получим (a 0 , 5) 3: a 1 , 5 − a 0 , 5 − 6 = (a 0 , 5) 3 − a 0 , 5 − 6 . В полученное выражение можно без проблем вводить новую переменную t = a 0 , 5 : получаем t 3 − t − 6 .
Ответ: t 3 − t − 6 .
Преобразование дробей, содержащих степени
Обычно мы имеем дело с двумя вариантами степенных выражений с дробями: выражение представляет собой дробь со степенью или содержит такую дробь. К таким выражениям применимы все основные преобразования дробей без ограничений. Их можно сокращать, приводить к новому знаменателю, работать отдельно с числителем и знаменателем. Проиллюстрируем это примерами.
Пример 7
Упростить степенное выражение 3 · 5 2 3 · 5 1 3 - 5 - 2 3 1 + 2 · x 2 - 3 - 3 · x 2 .
Решение
Мы имеем дело с дробью, поэтому проведем преобразования и в числителе, и в знаменателе:
3 · 5 2 3 · 5 1 3 - 5 - 2 3 1 + 2 · x 2 - 3 - 3 · x 2 = 3 · 5 2 3 · 5 1 3 - 3 · 5 2 3 · 5 - 2 3 - 2 - x 2 = = 3 · 5 2 3 + 1 3 - 3 · 5 2 3 + - 2 3 - 2 - x 2 = 3 · 5 1 - 3 · 5 0 - 2 - x 2
Поместим минус перед дробью для того, чтобы изменить знак знаменателя: 12 - 2 - x 2 = - 12 2 + x 2
Ответ: 3 · 5 2 3 · 5 1 3 - 5 - 2 3 1 + 2 · x 2 - 3 - 3 · x 2 = - 12 2 + x 2
Дроби, содержащие степени, приводятся к новому знаменателю точно также, как и рациональные дроби. Для этого необходимо найти дополнительный множитель и умножить на него числитель и знаменатель дроби. Подбирать дополнительный множитель необходимо таким образом, чтобы он не обращался в нуль ни при каких значениях переменных из ОДЗ переменных для исходного выражения.
Пример 8
Приведите дроби к новому знаменателю: а) a + 1 a 0 , 7 к знаменателю a , б) 1 x 2 3 - 2 · x 1 3 · y 1 6 + 4 · y 1 3 к знаменателю x + 8 · y 1 2 .
Решение
а) Подберем множитель, который позволит нам произвести приведение к новому знаменателю. a 0 , 7 · a 0 , 3 = a 0 , 7 + 0 , 3 = a , следовательно, в качестве дополнительного множителя мы возьмем a 0 , 3 . Область допустимых значений переменной а включает множество всех положительных действительных чисел. В этой области степень a 0 , 3 не обращается в нуль.
Выполним умножение числителя и знаменателя дроби на a 0 , 3 :
a + 1 a 0 , 7 = a + 1 · a 0 , 3 a 0 , 7 · a 0 , 3 = a + 1 · a 0 , 3 a
б) Обратим внимание на знаменатель:
x 2 3 - 2 · x 1 3 · y 1 6 + 4 · y 1 3 = = x 1 3 2 - x 1 3 · 2 · y 1 6 + 2 · y 1 6 2
Умножим это выражение на x 1 3 + 2 · y 1 6 , получим сумму кубов x 1 3 и 2 · y 1 6 , т.е. x + 8 · y 1 2 . Это наш новый знаменатель, к которому нам надо привести исходную дробь.
Так мы нашли дополнительный множитель x 1 3 + 2 · y 1 6 . На области допустимых значений переменных x
и y
выражение x 1 3 + 2 · y 1 6 не обращается в нуль, поэтому, мы можем умножить на него числитель и знаменатель дроби:
1 x 2 3 - 2 · x 1 3 · y 1 6 + 4 · y 1 3 = = x 1 3 + 2 · y 1 6 x 1 3 + 2 · y 1 6 x 2 3 - 2 · x 1 3 · y 1 6 + 4 · y 1 3 = = x 1 3 + 2 · y 1 6 x 1 3 3 + 2 · y 1 6 3 = x 1 3 + 2 · y 1 6 x + 8 · y 1 2
Ответ: а) a + 1 a 0 , 7 = a + 1 · a 0 , 3 a , б) 1 x 2 3 - 2 · x 1 3 · y 1 6 + 4 · y 1 3 = x 1 3 + 2 · y 1 6 x + 8 · y 1 2 .
Пример 9
Сократите дробь: а) 30 · x 3 · (x 0 , 5 + 1) · x + 2 · x 1 1 3 - 5 3 45 · x 0 , 5 + 1 2 · x + 2 · x 1 1 3 - 5 3 , б) a 1 4 - b 1 4 a 1 2 - b 1 2 .
Решение
а) Используем наибольший общий знаменатель (НОД), на который можно сократить числитель и знаменатель. Для чисел 30 и 45 это 15 . Также мы можем произвести сокращение на x 0 , 5 + 1 и на x + 2 · x 1 1 3 - 5 3 .
Получаем:
30 · x 3 · (x 0 , 5 + 1) · x + 2 · x 1 1 3 - 5 3 45 · x 0 , 5 + 1 2 · x + 2 · x 1 1 3 - 5 3 = 2 · x 3 3 · (x 0 , 5 + 1)
б) Здесь наличие одинаковых множителей неочевидно. Придется выполнить некоторые преобразования для того, чтобы получить одинаковые множители в числителе и знаменателе. Для этого разложим знаменатель, используя формулу разности квадратов:
a 1 4 - b 1 4 a 1 2 - b 1 2 = a 1 4 - b 1 4 a 1 4 2 - b 1 2 2 = = a 1 4 - b 1 4 a 1 4 + b 1 4 · a 1 4 - b 1 4 = 1 a 1 4 + b 1 4
Ответ: а) 30 · x 3 · (x 0 , 5 + 1) · x + 2 · x 1 1 3 - 5 3 45 · x 0 , 5 + 1 2 · x + 2 · x 1 1 3 - 5 3 = 2 · x 3 3 · (x 0 , 5 + 1) , б) a 1 4 - b 1 4 a 1 2 - b 1 2 = 1 a 1 4 + b 1 4 .
К числу основных действий с дробями относится приведение к новому знаменателю и сокращение дробей. Оба действия выполняют с соблюдением ряда правил. При сложении и вычитании дробей сначала дроби приводятся к общему знаменателю, после чего проводятся действия (сложение или вычитание) с числителями. Знаменатель остается прежним. Результатом наших действий является новая дробь, числитель которой является произведением числителей, а знаменатель есть произведение знаменателей.
Пример 10
Выполните действия x 1 2 + 1 x 1 2 - 1 - x 1 2 - 1 x 1 2 + 1 · 1 x 1 2 .
Решение
Начнем с вычитания дробей, которые располагаются в скобках. Приведем их к общему знаменателю:
x 1 2 - 1 · x 1 2 + 1
Вычтем числители:
x 1 2 + 1 x 1 2 - 1 - x 1 2 - 1 x 1 2 + 1 · 1 x 1 2 = = x 1 2 + 1 · x 1 2 + 1 x 1 2 - 1 · x 1 2 + 1 - x 1 2 - 1 · x 1 2 - 1 x 1 2 + 1 · x 1 2 - 1 · 1 x 1 2 = = x 1 2 + 1 2 - x 1 2 - 1 2 x 1 2 - 1 · x 1 2 + 1 · 1 x 1 2 = = x 1 2 2 + 2 · x 1 2 + 1 - x 1 2 2 - 2 · x 1 2 + 1 x 1 2 - 1 · x 1 2 + 1 · 1 x 1 2 = = 4 · x 1 2 x 1 2 - 1 · x 1 2 + 1 · 1 x 1 2
Теперь умножаем дроби:
4 · x 1 2 x 1 2 - 1 · x 1 2 + 1 · 1 x 1 2 = = 4 · x 1 2 x 1 2 - 1 · x 1 2 + 1 · x 1 2
Произведем сокращение на степень x 1 2 , получим 4 x 1 2 - 1 · x 1 2 + 1 .
Дополнительно можно упростить степенное выражение в знаменателе, используя формулу разности квадратов: квадратов: 4 x 1 2 - 1 · x 1 2 + 1 = 4 x 1 2 2 - 1 2 = 4 x - 1 .
Ответ: x 1 2 + 1 x 1 2 - 1 - x 1 2 - 1 x 1 2 + 1 · 1 x 1 2 = 4 x - 1
Пример 11
Упростите степенное выражение x 3 4 · x 2 , 7 + 1 2 x - 5 8 · x 2 , 7 + 1 3 .
Решение
Мы можем произвести сокращение дроби на (x 2 , 7 + 1) 2 . Получаем дробь x 3 4 x - 5 8 · x 2 , 7 + 1 .
Продолжим преобразования степеней икса x 3 4 x - 5 8 · 1 x 2 , 7 + 1 . Теперь можно использовать свойство деления степеней с одинаковыми основаниями: x 3 4 x - 5 8 · 1 x 2 , 7 + 1 = x 3 4 - - 5 8 · 1 x 2 , 7 + 1 = x 1 1 8 · 1 x 2 , 7 + 1 .
Переходим от последнего произведения к дроби x 1 3 8 x 2 , 7 + 1 .
Ответ: x 3 4 · x 2 , 7 + 1 2 x - 5 8 · x 2 , 7 + 1 3 = x 1 3 8 x 2 , 7 + 1 .
Множители с отрицательными показателями степени в большинстве случаев удобнее переносить из числителя в знаменатель и обратно, изменяя знак показателя. Это действие позволяет упростить дальнейшее решение. Приведем пример: степенное выражение (x + 1) - 0 , 2 3 · x - 1 можно заменить на x 3 · (x + 1) 0 , 2 .
Преобразование выражений с корнями и степенями
В задачах встречаются степенные выражения, которые содержат не только степени с дробными показателями, но и корни. Такие выражения желательно привести только к корням или только к степеням. Переход к степеням предпочтительнее, так как с ними проще работать. Такой переход является особенно предпочтительным, когда ОДЗ переменных для исходного выражения позволяет заменить корни степенями без необходимости обращаться к модулю или разбивать ОДЗ на несколько промежутков.
Пример 12
Представьте выражение x 1 9 · x · x 3 6 в виде степени.
Решение
Область допустимых значений переменной x определяется двумя неравенствами x ≥ 0 и x · x 3 ≥ 0 , которые задают множество [ 0 , + ∞) .
На этом множестве мы имеем право перейти от корней к степеням:
x 1 9 · x · x 3 6 = x 1 9 · x · x 1 3 1 6
Используя свойства степеней, упростим полученное степенное выражение.
x 1 9 · x · x 1 3 1 6 = x 1 9 · x 1 6 · x 1 3 1 6 = x 1 9 · x 1 6 · x 1 · 1 3 · 6 = = x 1 9 · x 1 6 · x 1 18 = x 1 9 + 1 6 + 1 18 = x 1 3
Ответ: x 1 9 · x · x 3 6 = x 1 3 .
Преобразование степеней с переменными в показателе
Данные преобразования достаточно просто произвести, если грамотно использовать свойства степени. Например, 5 2 · x + 1 − 3 · 5 x · 7 x − 14 · 7 2 · x − 1 = 0 .
Мы можем заменить произведением степени, в показателях которых находится сумма некоторой переменной и числа. В левой части это можно проделать с первым и последним слагаемыми левой части выражения:
5 2 · x · 5 1 − 3 · 5 x · 7 x − 14 · 7 2 · x · 7 − 1 = 0 , 5 · 5 2 · x − 3 · 5 x · 7 x − 2 · 7 2 · x = 0 .
Теперь поделим обе части равенства на 7 2 · x . Это выражение на ОДЗ переменной x принимает только положительные значения:
5 · 5 - 3 · 5 x · 7 x - 2 · 7 2 · x 7 2 · x = 0 7 2 · x , 5 · 5 2 · x 7 2 · x - 3 · 5 x · 7 x 7 2 · x - 2 · 7 2 · x 7 2 · x = 0 , 5 · 5 2 · x 7 2 · x - 3 · 5 x · 7 x 7 x · 7 x - 2 · 7 2 · x 7 2 · x = 0
Сократим дроби со степенями, получим: 5 · 5 2 · x 7 2 · x - 3 · 5 x 7 x - 2 = 0 .
Наконец, отношение степеней с одинаковыми показателями заменяется степенями отношений, что приводит к уравнению 5 · 5 7 2 · x - 3 · 5 7 x - 2 = 0 , которое равносильно 5 · 5 7 x 2 - 3 · 5 7 x - 2 = 0 .
Введем новую переменную t = 5 7 x , что сводит решение исходного показательного уравнения к решению квадратного уравнения 5 · t 2 − 3 · t − 2 = 0 .
Преобразование выражений со степенями и логарифмами
Выражения, содержащие с записи степени и логарифмы, также встречаются в задачах. Примером таких выражений могут служить: 1 4 1 - 5 · log 2 3 или log 3 27 9 + 5 (1 - log 3 5) · log 5 3 . Преобразование подобных выражений проводится с использованием разобранных выше подходов и свойств логарифмов, которые мы подробно разобрали в теме «Преобразование логарифмических выражений».
Если вы заметили ошибку в тексте, пожалуйста, выделите её и нажмите Ctrl+Enter
Сложение и вычитание степеней
Очевидно, что числа со степенями могут слагаться, как другие величины , путем их сложения одно за другим со своими знаками .
Так, сумма a 3 и b 2 есть a 3 + b 2 .
Сумма a 3 — b n и h 5 -d 4 есть a 3 — b n + h 5 — d 4 .
Коэффициенты одинаковых степеней одинаковых переменных могут слагаться или вычитаться.
Так, сумма 2a 2 и 3a 2 равна 5a 2 .
Это так же очевидно, что если взять два квадрата а, или три квадрата а, или пять квадратов а.
Но степени различных переменных и различные степени одинаковых переменных , должны слагаться их сложением с их знаками.
Так, сумма a 2 и a 3 есть сумма a 2 + a 3 .
Это очевидно, что квадрат числа a, и куб числа a, не равно ни удвоенному квадрату a, но удвоенному кубу a.
Сумма a 3 b n и 3a 5 b 6 есть a 3 b n + 3a 5 b 6 .
Вычитание степеней проводится таким же образом, что и сложение, за исключением того, что знаки вычитаемых должны соответственно быть изменены.
Или:
2a 4 — (-6a 4) = 8a 4
3h 2 b 6 — 4h 2 b 6 = -h 2 b 6
5(a — h) 6 — 2(a — h) 6 = 3(a — h) 6
Умножение степеней
Числа со степенями могут быть умножены, как и другие величины, путем написания их одно за другим, со знаком умножения или без него между ними.
Так, результат умножения a 3 на b 2 равен a 3 b 2 или aaabb.
Или:
x -3 ⋅ a m = a m x -3
3a 6 y 2 ⋅ (-2x) = -6a 6 xy 2
a 2 b 3 y 2 ⋅ a 3 b 2 y = a 2 b 3 y 2 a 3 b 2 y
Результат в последнем примере может быть упорядочен путём сложения одинаковых переменных.
Выражение примет вид: a 5 b 5 y 3 .
Сравнивая несколько чисел(переменных) со степенями, мы можем увидеть, что если любые два из них умножаются, то результат — это число (переменная) со степенью, равной сумме степеней слагаемых.
Так, a 2 .a 3 = aa.aaa = aaaaa = a 5 .
Здесь 5 — это степень результата умножения, равная 2 + 3, сумме степеней слагаемых.
Так, a n .a m = a m+n .
Для a n , a берётся как множитель столько раз, сколько равна степень n;
И a m , берётся как множитель столько раз, сколько равна степень m;
Поэтому, степени с одинаковыми основами могут быть умножены путём сложения показателей степеней.
Так, a 2 .a 6 = a 2+6 = a 8 . И x 3 .x 2 .x = x 3+2+1 = x 6 .
Или:
4a n ⋅ 2a n = 8a 2n
b 2 y 3 ⋅ b 4 y = b 6 y 4
(b + h — y) n ⋅ (b + h — y) = (b + h — y) n+1
Умножьте (x 3 + x 2 y + xy 2 + y 3) ⋅ (x — y).
Ответ: x 4 — y 4 .
Умножьте (x 3 + x — 5) ⋅ (2x 3 + x + 1).
Это правило справедливо и для чисел, показатели степени которых — отрицательные .
1. Так, a -2 .a -3 = a -5 . Это можно записать в виде (1/aa).(1/aaa) = 1/aaaaa.
2. y -n .y -m = y -n-m .
3. a -n .a m = a m-n .
Если a + b умножаются на a — b, результат будет равен a 2 — b 2: то есть
Результат умножения суммы или разницы двух чисел равен сумме или разнице их квадратов.
Если умножается сумма и разница двух чисел, возведённых в квадрат , результат будет равен сумме или разнице этих чисел в четвёртой степени.
Так, (a — y).(a + y) = a 2 — y 2 .
(a 2 — y 2)⋅(a 2 + y 2) = a 4 — y 4 .
(a 4 — y 4)⋅(a 4 + y 4) = a 8 — y 8 .
Деление степеней
Числа со степенями могут быть поделены, как и другие числа, путем отнимая от делимого делителя, или размещением их в форме дроби.
Таким образом a 3 b 2 делённое на b 2 , равно a 3 .
Запись a 5 , делённого на a 3 , выглядит как $\frac $. Но это равно a 2 . В ряде чисел
a +4 , a +3 , a +2 , a +1 , a 0 , a -1 , a -2 , a -3 , a -4 .
любое число может быть поделено на другое, а показатель степени будет равен разнице
показателей делимых чисел.
При делении степеней с одинаковым основанием их показатели вычитаются. .
Так, y 3:y 2 = y 3-2 = y 1 . То есть, $\frac = y$.
И a n+1:a = a n+1-1 = a n . То есть $\frac = a^n$.
Или:
y 2m: y m = y m
8a n+m: 4a m = 2a n
12(b + y) n: 3(b + y) 3 = 4(b +y) n-3
Правило также справедливо и для чисел с отрицательными
значениями степеней.
Результат деления a -5 на a -3 , равен a -2 .
Также, $\frac: \frac = \frac .\frac = \frac = \frac $.
h 2:h -1 = h 2+1 = h 3 или $h^2:\frac = h^2.\frac = h^3$
Необходимо очень хорошо усвоить умножение и деление степеней, так как такие операции очень широко применяются в алгебре.
Примеры решения примеров с дробями, содержащими числа со степенями
1. Уменьшите показатели степеней в $\frac $ Ответ: $\frac $.
2. Уменьшите показатели степеней в $\frac $. Ответ: $\frac $ или 2x.
3. Уменьшите показатели степеней a 2 /a 3 и a -3 /a -4 и приведите к общему знаменателю.
a 2 .a -4 есть a -2 первый числитель.
a 3 .a -3 есть a 0 = 1, второй числитель.
a 3 .a -4 есть a -1 , общий числитель.
После упрощения: a -2 /a -1 и 1/a -1 .
4. Уменьшите показатели степеней 2a 4 /5a 3 и 2 /a 4 и приведите к общему знаменателю.
Ответ: 2a 3 /5a 7 и 5a 5 /5a 7 или 2a 3 /5a 2 и 5/5a 2 .
5. Умножьте (a 3 + b)/b 4 на (a — b)/3.
6. Умножьте (a 5 + 1)/x 2 на (b 2 — 1)/(x + a).
7. Умножьте b 4 /a -2 на h -3 /x и a n /y -3 .
8. Разделите a 4 /y 3 на a 3 /y 2 . Ответ: a/y.
Свойства степени
Напоминаем, что в данном уроке разбираются свойства степеней с натуральными показателями и нулём. Степени с рациональными показателями и их свойства будут рассмотрены в уроках для 8 классов.
Степень с натуральным показателем обладает несколькими важными свойствами, которые позволяют упрощать вычисления в примерах со степенями.
Свойство № 1
Произведение степеней
При умножении степеней с одинаковыми основаниями основание остаётся без изменений, а показатели степеней складываются.
a m · a n = a m + n , где « a » - любое число, а « m », « n » - любые натуральные числа.
Данное свойство степеней также действует на произведение трёх и более степеней.
- Упростить выражение.
b · b 2 · b 3 · b 4 · b 5 = b 1 + 2 + 3 + 4 + 5 = b 15 - Представить в виде степени.
6 15 · 36 = 6 15 · 6 2 = 6 15 · 6 2 = 6 17 - Представить в виде степени.
(0,8) 3 · (0,8) 12 = (0,8) 3 + 12 = (0,8) 15 - Записать частное в виде степени
(2b) 5: (2b) 3 = (2b) 5 − 3 = (2b) 2 - Вычислить.
Обратите внимание, что в указанном свойстве речь шла только об умножении степеней с одинаковыми основаниями . Оно не относится к их сложению.
Нельзя заменять сумму (3 3 + 3 2) на 3 5 . Это понятно, если
посчитать (3 3 + 3 2) = (27 + 9) = 36 , а 3 5 = 243
Свойство № 2
Частное степеней
При делении степеней с одинаковыми основаниями основание остаётся без изменений, а из показателя степени делимого вычитают показатель степени делителя.
11 3 − 2 · 4 2 − 1 = 11 · 4 = 44
Пример. Решить уравнение. Используем свойство частного степеней.
3 8: t = 3 4
Ответ: t = 3 4 = 81
Пользуясь свойствами № 1 и № 2, можно легко упрощать выражения и производить вычисления.
Пример. Упростить выражение.
4 5m + 6 · 4 m + 2: 4 4m + 3 = 4 5m + 6 + m + 2: 4 4m + 3 = 4 6m + 8 − 4m − 3 = 4 2m + 5
Пример. Найти значение выражения, используя свойства степени.
2 11 − 5 = 2 6 = 64
Обратите внимание, что в свойстве 2 речь шла только о делении степеней с одинаковыми основаниями.
Нельзя заменять разность (4 3 −4 2) на 4 1 . Это понятно, если посчитать (4 3 −4 2) = (64 − 16) = 48 , а 4 1 = 4
Свойство № 3
Возведение степени в степень
При возведении степени в степень основание степени остаётся без изменения, а показатели степеней перемножаются.
(a n) m = a n · m , где « a » - любое число, а « m », « n » - любые натуральные числа.
Напоминаем, что частное можно представить в виде дроби. Поэтому на теме возведение дроби в степень мы остановимся более подробно на следующей странице.
Как умножать степени
Как умножать степени? Какие степени можно перемножить, а какие - нет? Как число умножить на степень?
В алгебре найти произведение степеней можно в двух случаях:
1) если степени имеют одинаковые основания;
2) если степени имеют одинаковые показатели.
При умножении степеней с одинаковыми основаниями надо основание оставить прежним, а показатели - сложить:
При умножении степеней с одинаковыми показателями общий показатель можно вынести за скобки:
Рассмотрим, как умножать степени, на конкретных примерах.
Единицу в показателе степени не пишут, но при умножении степеней - учитывают:
При умножении количество степеней может быть любое. Следует помнить, что перед буквой знак умножения можно не писать:
В выражениях возведение в степень выполняется в первую очередь.
Если нужно число умножить на степень, сначала следует выполнить возведение в степень, а уже потом - умножение:
Умножение степеней с одинаковыми основаниями
Этот видеоурок доступен по абонементу
У вас уже есть абонемент? Войти

На этом уроке мы изучим умножение степеней с одинаковыми основаниями. Вначале вспомним определение степени и сформулируем теорему о справедливости равенства . Затем приведем примеры ее применения на конкретных числах и докажем ее. Также мы применим теорему для решения различных задач.
Тема: Степень с натуральным показателем и ее свойства
Урок: Умножение степеней с одинаковыми основаниями (формула )
1. Основные определения
Основные определения:
n — показатель степени,
— n -ая степень числа.
2. Формулировка теоремы 1
Теорема 1. Для любого числа а и любых натуральных n и k справедливо равенство:
По-иному: если а – любое число; n и k натуральные числа, то:
Отсюда правило 1:
3. Разъясняющие задачи
Вывод: частные случаи подтвердили правильность теоремы №1. Докажем ее в общем случае, то есть для любого а и любых натуральных n и k.
4. Доказательство теоремы 1
Дано число а – любое; числа n и k – натуральные. Доказать:
Доказательство основано на определении степени.

5. Решение примеров с помощью теоремы 1
Пример 1: Представьте в виде степени.
Для решения следующих примеров воспользуемся теоремой 1.
ж)![]()
6. Обобщение теоремы 1
Здесь использовано обобщение:
7. Решение примеров с помощью обобщения теоремы 1
8. Решение различных задач с помощью теоремы 1
Пример 2: Вычислите (можно использовать таблицу основных степеней).
а)
(по таблице)
б) ![]()
Пример 3: Запишите в виде степени с основанием 2.
а) ![]()
Пример 4: Определите знак числа:
, а – отрицательное, так как показатель степени при -13 нечетный.
Пример 5: Замените (·) степенью числа с основанием r:
Имеем , то есть .
9. Подведение итогов
1. Дорофеев Г.В., Суворова С.Б., Бунимович Е.А. и др. Алгебра 7. 6 издание. М.: Просвещение. 2010 г.
1. Школьный помощник (Источник).
1. Представьте в виде степени:
а) б) в) г) д) ![]()
3. Запишите в виде степени с основанием 2:
4. Определите знак числа:
а) ![]()
5. Замените (·) степенью числа с основанием r:
а) r 4 · (·) = r 15 ; б) (·) · r 5 = r 6
Умножение и деление степеней с одинаковыми показателями
На этом уроке мы изучим умножение степеней с одинаковыми показателями. Сначала вспомним основные определения и теоремы об умножении и делении степеней с одинаковыми основаниями и возведении степень в степень. Затем сформулируем и докажем теоремы об умножении и делении степеней с одинаковыми показателями. А затем с их помощью решим ряд типичных задач.
Напоминание основных определений и теорем
Здесь a — основание степени,
— n -ая степень числа.
Теорема 1. Для любого числа а и любых натуральных n иk справедливо равенство:
При умножении степеней с одинаковыми основаниями показатели складываются, основание остается неизменным.
Теорема 2. Для любого числа а и любых натуральных n и k, таких, что n > k справедливо равенство:
При делении степеней с одинаковыми основаниями показатели отнимаются, а основание остается неизменным.
Теорема 3. Для любого числа а и любых натуральных n иk справедливо равенство:
Все перечисленные теоремы были о степенях с одинаковыми основаниями , на этом уроке будут рассмотрены степени с одинаковыми показателями .
Примеры на умножение степеней с одинаковыми показателями
Рассмотрим следующие примеры:
Распишем выражения по определению степени.
Вывод:
из примеров можно заметить, что
, но это еще нужно доказать. Сформулируем теорему и докажем ее в общем случае, то есть для любых а
и b
и любого натурального n.
Формулировка и доказательство теоремы 4
Для любых чисел а и b и любого натурального n справедливо равенство:
Доказательство теоремы 4.
По определению степени:
Итак, мы доказали, что
.
Чтобы перемножить степени с одинаковыми показателями, достаточно перемножить основания, а показатель степени оставить неизменным.
Формулировка и доказательство теоремы 5
Сформулируем теорему для деления степеней с одинаковыми показателями.
Для любого числа а и b () и любого натурального n справедливо равенство:
Доказательство теоремы 5.
Распишем и по определению степени:

Формулировка теорем словами
Итак, мы доказали, что .
Чтобы разделить друг на друга степени с одинаковыми показателями, достаточно разделить одно основание на другое, а показатель степени оставить неизменным.
Решение типичных задач с помощью теоремы 4
Пример 1: Представить в виде произведения степеней.
Для решения следующих примеров воспользуемся теоремой 4.
Для решения следующего примера вспомним формулы:
Обобщение теоремы 4
Обобщение теоремы 4:
Решение примеров с помощью обобщенной теоремы 4
Продолжение решения типичных задач
Пример 2: Запишите в виде степени произведения.
Пример 3: Запишите в виде степени с показателем 2.
Примеры на вычисление
Пример 4: Вычислить самым рациональным способом.
2. Мерзляк А.Г., Полонский В.Б., Якир М.С. Алгебра 7. М.: ВЕНТАНА-ГРАФ
3. Колягин Ю.М., Ткачёва М.В., Фёдорова Н.Е. и др. Алгебра 7 .М.: Просвещение. 2006 г.
2. Школьный помощник (Источник).
1. Представить в виде произведения степеней:
а) ; б) ; в) ; г) ;
2. Запишите в виде степени произведения:
3. Запишите в виде степени с показателем 2:
4. Вычислить самым рациональным способом.
Урок математики по теме «Умножение и деление степеней»
Разделы: Математика
Педагогическая цель :
Задачи :
Деятельностные единицы учения: определение степени с натуральным показателем; компоненты степени; определение частного; сочетательный закон умножения.
I. Организация демонстрации овладение учащимися имеющимися знаниями. (шаг 1)
а) Актуализация знаний:
2) Сформулировать определение степени с натуральным показателем.
a n =a a a a … а (n раз)
b k =b b b b a… b (k раз) Обосновать ответ.
II. Организация самооценивания обучаемого степенью владения актуальным опытом. (шаг 2)
Тест для самопроверки: (индивидуальная работа в двух вариантах.)
А1) Представьте произведение 7 7 7 7 x x x в виде степени:
А2) Представить в виде произведения степень (-3) 3 х 2
A3) Вычислите: -2 3 2 + 4 5 3
Количество заданий в тесте я подбираю в соответствии с подготовкой уровня класса.
К тесту даю ключ для самопроверки. Критерии: зачёт – не зачёт.
III. Учебно-практическая задача (шаг 3) + шаг 4. (сформулируют свойства сами ученики)
В ходе решения задачи 1) и 2) учащиеся предлагают решение, а я, как учитель, организую класс на нахождение способа для упрощения степеней при умножении с одинаковыми основаниями.
Учитель: придумать способ для упрощения степеней при умножении с одинаковыми основаниями.
На кластере появляется запись:

Формулируется тема урока. Умножение степеней.
Учитель: придумайте правило деления степеней с одинаковыми основаниями.
Рассуждения: каким действием проверяется деление? а 5: а 3 = ? что а 2 а 3 = а 5
Возвращаюсь к схеме – кластер и дополняем запись – ..при делении вычитаем и дописываем тему урока. …и деление степеней.
IV. Сообщение учащимся пределов познания (как минимум и как максимум).
Учитель: задачей минимума на сегодняшний урок является научиться применять свойства умножения и деления степеней с одинаковыми основаниями, а максимума: применять умножение и деление совместно.
На доске записываем: а m а n = а m+n ; а m: а n = а m-n
V. Организация изучения нового материала. (шаг 5)
а) По учебнику: №403 (а, в, д) задания с разными формулировками
№404 (а, д, е) самостоятельная работа, затем организую взаимопроверку, даю ключи.
б) При каком значении m справедливо равенство? а 16 а m = а 32 ; х h х 14 = х 28 ; х 8 (*) = х 14
Задание: придумать аналогичные примеры для деления.
в) № 417(а), №418 (а) Ловушки для учеников : х 3 х n = х 3n ; 3 4 3 2 = 9 6 ; а 16: а 8 = а 2 .
VI. Обобщение изученного, проведение диагностической работы (что побуждает учеников, а не учителя изучать данную тему)(шаг 6)
Диагностическая работа.
Тест (ключи поместить на обратной стороне теста).
Варианты заданий: представьте в виде степени частное х 15: х 3 ; представьте в виде степени произведение (-4) 2 (-4) 5 (-4) 7 ; при каком m справедливо равенство а 16 а m = а 32 ; найдите значение выражения h 0: h 2 при h =0,2; вычислите значение выражения (5 2 5 0) : 5 2 .
Итог урока. Рефлексия. Делю класс на две группы.
Найдите аргументы I группа: в пользу знания свойств степени, а II группа – аргументы, которые будут говорить о том, что можно обойтись без свойств. Все ответы выслушиваем, делаем выводы. На последующих уроках можно предложить статистические данные и назвать рубрику «В голове не укладывается!»
VII. Домашнее задание.
Историческая справка. Какие числа называют числами Ферма.
П.19. №403, №408, №417
Используемая литература:
Свойства степеней, формулировки, доказательства, примеры.
После того как определена степень числа, логично поговорить про свойства степени . В этой статье мы дадим основные свойства степени числа, при этом затронем все возможные показатели степени. Здесь же мы приведем доказательства всех свойств степени, а также покажем, как применяются эти свойства при решении примеров.
Навигация по странице.
Свойства степеней с натуральными показателями
По определению степени с натуральным показателем степень a n представляет собой произведение n множителей, каждый из которых равен a . Отталкиваясь от этого определения, а также используя свойства умножения действительных чисел , можно получить и обосновать следующие свойства степени с натуральным показателем :
- если a>0 , то a n >0 для любого натурального n ;
- если a=0 , то a n =0 ;
- если a 2·m >0 , если a 2·m−1 n ;
- если m и n такие натуральные числа, что m>n , то при 0m n , а при a>0 справедливо неравенство a m >a n .
- a m ·a n =a m+n ;
- a m:a n =a m−n ;
- (a·b) n =a n ·b n ;
- (a:b) n =a n:b n ;
- (a m) n =a m·n ;
- если n – целое положительное число, a и b – положительные числа, причем an n и a −n >b −n ;
- если m и n – целые числа, причем m>n , то при 0m n , а при a>1 выполняется неравенство a m >a n .
Сразу заметим, что все записанные равенства являются тождественными при соблюдении указанных условий, и их правые и левые части можно поменять местами. Например, основное свойство дроби a m ·a n =a m+n при упрощении выражений часто применяется в виде a m+n =a m ·a n .
Теперь рассмотрим каждое из них подробно.
Начнем со свойства произведения двух степеней с одинаковыми основаниями, которое называют основным свойством степени : для любого действительного числа a и любых натуральных чисел m и n справедливо равенство a m ·a n =a m+n .
Докажем основное свойство степени. По определению степени с натуральным показателем произведение степеней с одинаковыми основаниями вида a m ·a n можно записать как произведение
. В силу свойств умножения полученное выражение можно записать как
, а это произведение есть степень числа a с натуральным показателем m+n , то есть, a m+n . На этом доказательство завершено.
Приведем пример, подтверждающий основное свойство степени. Возьмем степени с одинаковыми основаниями 2 и натуральными степенями 2 и 3 , по основному свойству степени можно записать равенство 2 2 ·2 3 =2 2+3 =2 5 . Проверим его справедливость, для чего вычислим значения выражений 2 2 ·2 3 и 2 5 . Выполняя возведение в степень, имеем 2 2 ·2 3 =(2·2)·(2·2·2)=4·8=32 и 2 5 =2·2·2·2·2=32 , так как получаются равные значения, то равенство 2 2 ·2 3 =2 5 — верное, и оно подтверждает основное свойство степени.
Основное свойство степени на базе свойств умножения можно обобщить на произведение трех и большего числа степеней с одинаковыми основаниями и натуральными показателями. Так для любого количества k натуральных чисел n 1 , n 2 , …, n k справедливо равенство a n 1 ·a n 2 ·…·a n k =a n 1 +n 2 +…+n k .
Например, (2,1) 3 ·(2,1) 3 ·(2,1) 4 ·(2,1) 7 = (2,1) 3+3+4+7 =(2,1) 17 .
Можно переходить к следующему свойству степеней с натуральным показателем – свойству частного степеней с одинаковыми основаниями : для любого отличного от нуля действительного числа a и произвольных натуральных чисел m и n , удовлетворяющих условию m>n , справедливо равенство a m:a n =a m−n .
Прежде чем привести доказательство этого свойства, обговорим смысл дополнительных условий в формулировке. Условие a≠0 необходимо для того, чтобы избежать деления на нуль, так как 0 n =0 , а при знакомстве с делением мы условились, что на нуль делить нельзя. Условие m>n вводится для того, чтобы мы не выходили за рамки натуральных показателей степени. Действительно, при m>n показатель степени a m−n является натуральным числом, в противном случае он будет либо нулем (что происходит при m−n), либо отрицательным числом (что происходит при m m−n ·a n =a (m−n)+n =a m . Из полученного равенства a m−n ·a n =a m и из связи умножения с делением следует, что a m−n является частным степеней a m и a n . Этим доказано свойство частного степеней с одинаковыми основаниями.
Приведем пример. Возьмем две степени с одинаковыми основаниями π и натуральными показателями 5 и 2 , рассмотренному свойству степени отвечает равенство π 5:π 2 =π 5−3 =π 3 .
Теперь рассмотрим свойство степени произведения : натуральная степень n произведения двух любых действительных чисел a и b равна произведению степеней a n и b n , то есть, (a·b) n =a n ·b n .
Действительно, по определению степени с натуральным показателем имеем
. Последнее произведение на основании свойств умножения можно переписать как
, что равно a n ·b n .
Приведем пример:
.
Данное свойство распространяется на степень произведения трех и большего количества множителей. То есть, свойство натуральной степени n произведения k множителей записывается как (a 1 ·a 2 ·…·a k) n =a 1 n ·a 2 n ·…·a k n .
Для наглядности покажем это свойство на примере. Для произведения трех множителей в степени 7 имеем .
Следующее свойство представляет собой свойство частного в натуральной степени : частное действительных чисел a и b , b≠0 в натуральной степени n равно частному степеней a n и b n , то есть, (a:b) n =a n:b n .
Доказательство можно провести, используя предыдущее свойство. Так (a:b) n ·b n =((a:b)·b) n =a n , а из равенства (a:b) n ·b n =a n следует, что (a:b) n является частным от деления a n на b n .
Запишем это свойство на примере конкретных чисел:
.
Теперь озвучим свойство возведения степени в степень : для любого действительного числа a и любых натуральных чисел m и n степень a m в степени n равна степени числа a с показателем m·n , то есть, (a m) n =a m·n .
Например, (5 2) 3 =5 2·3 =5 6 .
Доказательством свойства степени в степени является следующая цепочка равенств:
.
Рассмотренное свойство можно распространить на степень в степени в степени и т.д. Например, для любых натуральных чисел p , q , r и s справедливо равенство
. Для большей ясности приведем пример с конкретными числами: (((5,2) 3) 2) 5 =(5,2) 3+2+5 =(5,2) 10 .
Осталось остановиться на свойствах сравнения степеней с натуральным показателем.
Начнем с доказательства свойства сравнения нуля и степени с натуральным показателем.
Для начала обоснуем, что a n >0 при любом a>0 .
Произведение двух положительных чисел является положительным числом, что следует из определения умножения. Этот факт и свойства умножения позволяют утверждать, что результат умножения любого числа положительных чисел также будет положительным числом. А степень числа a с натуральным показателем n по определению является произведением n множителей, каждый из которых равен a . Эти рассуждения позволяют утверждать, что для любого положительного основания a степень a n есть положительное число. В силу доказанного свойства 3 5 >0 , (0,00201) 2 >0 и
.
Достаточно очевидно, что для любого натурального n при a=0 степень a n есть нуль. Действительно, 0 n =0·0·…·0=0 . К примеру, 0 3 =0 и 0 762 =0 .
Переходим к отрицательным основаниям степени.
Начнем со случая, когда показатель степени является четным числом, обозначим его как 2·m , где m — натуральное. Тогда
. По правилу умножения отрицательных чисел каждое из произведений вида a·a равно произведению модулей чисел a и a , значит, является положительным числом. Следовательно, положительным будет и произведение
и степень a 2·m . Приведем примеры: (−6) 4 >0 , (−2,2) 12 >0 и .
Наконец, когда основание степени a является отрицательным числом, а показатель степени есть нечетное число 2·m−1 , то
. Все произведения a·a являются положительными числами, произведение этих положительных чисел также положительно, а его умножение на оставшееся отрицательное число a дает в итоге отрицательное число. В силу этого свойства (−5) 3 17 n n представляет собой произведение левых и правых частей n верных неравенств aсвойств неравенств справедливо и доказываемое неравенство вида a n n . Например, в силу этого свойства справедливы неравенства 3 7 7 и
.
Осталось доказать последнее из перечисленных свойств степеней с натуральными показателями. Сформулируем его. Из двух степеней с натуральными показателями и одинаковыми положительными основаниями, меньшими единицы, больше та степень, показатель которой меньше; а из двух степеней с натуральными показателями и одинаковыми основаниями, большими единицы, больше та степень, показатель которой больше. Переходим к доказательству этого свойства.
Докажем, что при m>n и 0m n . Для этого запишем разность a m −a n и сравним ее с нулем. Записанная разность после вынесения a n за скобки примет вид a n ·(a m−n −1) . Полученное произведение отрицательно как произведение положительного числа a n и отрицательного числа a m−n −1 (a n положительна как натуральная степень положительного числа, а разность a m−n −1 отрицательна, так как m−n>0 в силу исходного условия m>n , откуда следует, что при 0m−n меньше единицы). Следовательно, a m −a n m n , что и требовалось доказать. Для примера приведем верное неравенство .
Осталось доказать вторую часть свойства. Докажем, что при m>n и a>1 справедливо a m >a n . Разность a m −a n после вынесения a n за скобки принимает вид a n ·(a m−n −1) . Это произведение положительно, так как при a>1 степень a n есть положительное число, и разность a m−n −1 есть положительное число, так как m−n>0 в силу начального условия, и при a>1 степень a m−n больше единицы. Следовательно, a m −a n >0 и a m >a n , что и требовалось доказать. Иллюстрацией этого свойства служит неравенство 3 7 >3 2 .
Свойства степеней с целыми показателями
Так как целые положительные числа есть натуральные числа, то все свойства степеней с целыми положительными показателями в точности совпадают со свойствами степеней с натуральными показателями, перечисленными и доказанными в предыдущем пункте.
Степень с целым отрицательным показателем, а также степень с нулевым показателем мы определяли так, чтобы оставались справедливыми все свойства степеней с натуральными показателями, выражаемые равенствами. Поэтому, все эти свойства справедливы и для нулевых показателей степени, и для отрицательных показателей, при этом, конечно, основания степеней отличны от нуля.
Итак, для любых действительных и отличных от нуля чисел a и b , а также любых целых чисел m и n справедливы следующие свойства степеней с целыми показателями :
При a=0 степени a m и a n имеют смысл лишь когда и m , и n положительные целые числа, то есть, натуральные числа. Таким образом, только что записанные свойства также справедливы для случаев, когда a=0 , а числа m и n – целые положительные.
Доказать каждое из этих свойств не составляет труда, для этого достаточно использовать определения степени с натуральным и целым показателем, а также свойства действий с действительными числами. Для примера докажем, что свойство степени в степени выполняется как для целых положительных чисел, так и для целых неположительных чисел. Для этого нужно показать, что если p есть нуль или натуральное число и q есть нуль или натуральное число, то справедливы равенства (a p) q =a p·q , (a −p) q =a (−p)·q , (a p) −q =a p·(−q) и (a −p) −q =a (−p)·(−q) . Сделаем это.
Для положительных p и q равенство (a p) q =a p·q доказано в предыдущем пункте. Если p=0 , то имеем (a 0) q =1 q =1 и a 0·q =a 0 =1 , откуда (a 0) q =a 0·q . Аналогично, если q=0 , то (a p) 0 =1 и a p·0 =a 0 =1 , откуда (a p) 0 =a p·0 . Если же и p=0 и q=0 , то (a 0) 0 =1 0 =1 и a 0·0 =a 0 =1 , откуда (a 0) 0 =a 0·0 .
Теперь докажем, что (a −p) q =a (−p)·q . По определению степени с целым отрицательным показателем , тогда
. По свойству частного в степени имеем
. Так как 1 p =1·1·…·1=1 и , то . Последнее выражение по определению является степенью вида a −(p·q) , которую в силу правил умножения можно записать как a (−p)·q .
Аналогично
.
И
.
По такому же принципу можно доказать все остальные свойства степени с целым показателем, записанные в виде равенств.
В предпоследнем из записанных свойств стоит остановиться на доказательстве неравенства a −n >b −n , которое справедливо для любого целого отрицательного −n и любых положительных a и b , для которых выполняется условие a. Запишем и преобразуем разность левой и правой частей этого неравенства:
. Так как по условию an n , следовательно, b n −a n >0 . Произведение a n ·b n тоже положительно как произведение положительных чисел a n и b n . Тогда полученная дробь положительна как частное положительных чисел b n −a n и a n ·b n . Следовательно, откуда a −n >b −n , что и требовалось доказать.
Последнее свойство степеней с целыми показателями доказывается так же, как аналогичное свойство степеней с натуральными показателями.
Свойства степеней с рациональными показателями
Степень с дробным показателем мы определяли, распространяя на нее свойства степени с целым показателем. Иными словами, степени с дробными показателями обладают теми же свойствами, что и степени с целыми показателями. А именно:
- свойство произведения степеней с одинаковыми основаниями
при a>0 , а если и , то при a≥0 ; - свойство частного степеней с одинаковыми основаниями
при a>0 ; - свойство произведения в дробной степени
при a>0 и b>0 , а если и , то при a≥0 и (или) b≥0 ; - свойство частного в дробной степени
при a>0 и b>0 , а если , то при a≥0 и b>0 ; - свойство степени в степени
при a>0 , а если и , то при a≥0 ; - свойство сравнения степеней с равными рациональными показателями: для любых положительных чисел a и b , a0 справедливо неравенство a p p , а при p p >b p ;
- свойство сравнения степеней с рациональными показателями и равными основаниями: для рациональных чисел p и q , p>q при 0p q , а при a>0 – неравенство a p >a q .
- a p ·a q =a p+q ;
- a p:a q =a p−q ;
- (a·b) p =a p ·b p ;
- (a:b) p =a p:b p ;
- (a p) q =a p·q ;
- для любых положительных чисел a и b , a0 справедливо неравенство a p p , а при p p >b p ;
- для иррациональных чисел p и q , p>q при 0p q , а при a>0 – неравенство a p >a q .
Доказательство свойств степеней с дробными показателями базируется на определении степени с дробным показателем, на свойствах арифметического корня n-ой степени и на свойствах степени с целым показателем. Приведем доказательства.
По определению степени с дробным показателем и , тогда
. Свойства арифметического корня позволяют нам записать следующие равенства . Дальше, используя свойство степени с целым показателем, получаем , откуда по определению степени с дробным показателем имеем
, а показатель полученной степени можно преобразовать так: . На этом доказательство завершено.
Абсолютно аналогично доказывается второе свойство степеней с дробными показателями: 
По схожим принципам доказываются и остальные равенства: 
Переходим к доказательству следующего свойства. Докажем, что для любых положительных a и b , a0 справедливо неравенство a p p , а при p p >b p . Запишем рациональное число p как m/n , где m – целое число, а n – натуральное. Условиям p 0 в этом случае будут эквивалентны условия m 0 соответственно. При m>0 и am m . Из этого неравенства по свойству корней имеем , а так как a и b – положительные числа, то на основе определения степени с дробным показателем полученное неравенство можно переписать как , то есть, a p p .
Аналогично, при m m >b m , откуда , то есть, и a p >b p .
Осталось доказать последнее из перечисленных свойств. Докажем, что для рациональных чисел p и q , p>q при 0p q , а при a>0 – неравенство a p >a q . Мы всегда можем привести к общему знаменателю рациональные числа p и q , пусть при этом мы получим обыкновенные дроби и , где m 1 и m 2 – целые числа, а n — натуральное. При этом условию p>q будет соответствовать условие m 1 >m 2 , что следует из правила сравнения обыкновенных дробей с одинаковыми знаменателями. Тогда по свойству сравнения степеней с одинаковыми основаниями и натуральными показателями при 0m 1 m 2 , а при a>1 – неравенство a m 1 >a m 2 . Эти неравенства по свойствам корней можно переписать соответственно как
и
. А определение степени с рациональным показателем позволяет перейти к неравенствам и соответственно. Отсюда делаем окончательный вывод: при p>q и 0p q , а при a>0 – неравенство a p >a q .
Свойства степеней с иррациональными показателями
Из того, как определяется степень с иррациональным показателем, можно заключить, что она обладает всеми свойствами степеней с рациональными показателями. Так для любых a>0 , b>0 и иррациональных чисел p и q справедливы следующие свойства степеней с иррациональными показателями :
Отсюда можно сделать вывод, что степени с любыми действительными показателями p и q при a>0 обладают этими же свойствами.
- Алгебра – 10 класс. Тригонометрические уравнения Урок и презентация на тему: "Решение простейших тригонометрических уравнений" Дополнительные материалы Уважаемые пользователи, не забывайте оставлять свои комментарии, отзывы, пожелания! Все материалы […]
- Открыт конкурс на позицию «ПРОДАВЕЦ - КОНСУЛЬТАНТ»: Обязанности: продажа мобильных телефонов и аксессуаров для мобильной связи сервисное обслуживание абонентов Билайн, Теле2, МТС подключение тарифных планов и услуг Билайн и Теле2, МТС консультирование […]
- Параллелепипед формулы Параллелепипед – это многогранник с 6 гранями, каждая из которых является параллелограммом. Прямоугольный параллелепипед – это параллелепипед, каждая грань которого является прямоугольником. Любой параллелепипед характеризуется 3 […]
- Общество защиты прав потребителя астана Для того, что бы получить pin-код для доступа к данному документу на нашем сайте, отправьте sms-сообщение с текстом zan на номер Абоненты GSM-операторов (Activ, Kcell, Beeline, NEO, Tele2) отправив SMS на номер, […]
- ПРАВОПИСАНИЕ Н И НН В РАЗНЫХ ЧАСТЯХ РЕЧИ С.Г.ЗЕЛИНСКАЯ ДИДАКТИЧЕСКИЙ МАТЕРИАЛ Теоретическая зарядка 1. Когда в прилагательных пишется нн? 2. Назовите исключения из этих правил. 3. Как отличить отглагольное прилагательное с суффиксом -н- от причастия с […]
- Принять закон о Родовых поместьях Принять федеральный закон о безвозмездном выделении каждому желающему гражданину Российской Федерации или семье граждан участка земли для обустройства на нем Родового Поместья на следующих условиях: 1. Участок выделяется для […]
- ИНСПЕКЦИЯ ГОСТЕХНАДЗОРА БРЯНСКОЙ ОБЛАСТИ Квитанция об оплате госпошлины(Скачать-12,2 kb) Заявления на регистрацию для физ.лиц(Скачать-12 kb) Заявления на регистрацию для юр.лиц(Скачать-11,4 kb) 1. При регистрации новой машины: 1.заявление 2.паспорт […]
- Давненько мы не играли турниров 1х1. И пора бы наверное возобновить эту традицию. Пока мы не можем организовать отдельный ладдер и турниры для 1х1 игроков, предлагаем использовать ваши командные профайлы на сайте. Очки за игры в матчах снимать или добавлять […]
Если вам нужно возвести какое-то конкретное число в степень, можете воспользоваться . А сейчас мы более подробно остановимся на свойствах степеней .
Экспоненциальные числа открывают большие возможности, они позволяют нам преобразовать умножение в сложение, а складывать гораздо легче, чем умножать.
Например, нам надо умножить 16 на 64. Произведение от умножения этих двух чисел равно 1024. Но 16 – это 4×4, а 64 – это 4х4х4. То есть 16 на 64=4x4x4x4x4, что также равно 1024.
Число 16 можно представить также в виде 2х2х2х2, а 64 как 2х2х2х2х2х2, и если произвести умножение, мы опять получим 1024.
А теперь используем правило . 16=4 2 , или 2 4 , 64=4 3 , или 2 6 , в то же время 1024=6 4 =4 5 , или 2 10 .
Следовательно, нашу задачу можно записать по-другому: 4 2 х4 3 =4 5 или 2 4 х2 6 =2 10 , и каждый раз мы получаем 1024.
Мы можем решить ряд аналогичных примеров и увидим, что умножение чисел со степенями сводится к сложению показателей степени , или экспонент, разумеется, при том условии, что основания сомножителей равны.
Таким образом, мы можем, не производя умножения, сразу сказать, что 2 4 х2 2 х2 14 =2 20 .
Это правило справедливо также и при делении чисел со степенями, но в этом случае экспонента делителя вычитается из экспоненты делимого . Таким образом, 2 5:2 3 =2 2 , что в обычных числах равно 32:8=4, то есть 2 2 . Подведем итоги:
a m х a n =a m+n , a m: a n =a m-n , где m и n — целые числа.
С первого взгляда может показаться, что такое умножение и деление чисел со степенями не очень удобно, ведь сначала надо представить число в экспоненциальной форме. Нетрудно представить в такой форме числа 8 и 16, то есть 2 3 и 2 4 , но как это сделать с числами 7 и 17? Или как поступать в тех случаях, когда число можно представить в экспоненциальной форме, но основания экспоненциальных выражений чисел сильно различаются. Например, 8×9 – это 2 3 х3 2 , и в этом случае мы не можем суммировать экспоненты. Ни 2 5 и ни 3 5 не являются ответом, ответ также не лежит в интервале между этими двумя числами.
Тогда стоит ли вообще возиться с этим методом? Безусловно стоит. Он дает огромные преимущества, особенно при сложных и трудоемких вычислениях.
Ранее мы уже говорили о том, что такое степень числа. Она имеет определенные свойства, полезные в решении задач: именно их и все возможные показатели степени мы разберем в этой статье. Также мы наглядно покажем на примерах, как их можно доказать и правильно применить на практике.
Вспомним уже сформулированное нами ранее понятие степени с натуральным показателем: это произведение n -ного количества множителей, каждый из которых равен а. Также нам понадобится вспомнить, как правильно умножать действительные числа. Все это поможет нам сформулировать для степени с натуральным показателем следующие свойства:
Определение 1
1. Главное свойство степени: a m · a n = a m + n
Можно обобщить до: a n 1 · a n 2 · … · a n k = a n 1 + n 2 + … + n k .
2. Свойство частного для степеней, имеющих одинаковые основания: a m: a n = a m − n
3. Свойство степени произведения: (a · b) n = a n · b n
Равенство можно расширить до: (a 1 · a 2 · … · a k) n = a 1 n · a 2 n · … · a k n
4. Свойство частного в натуральной степени: (a: b) n = a n: b n
5. Возводим степень в степень: (a m) n = a m · n ,
Можно обобщить до: (((a n 1) n 2) …) n k = a n 1 · n 2 · … · n k
6. Сравниваем степень с нулем:
- если a > 0 , то при любом натуральном n, a n будет больше нуля;
- при a , равном 0 , a n также будет равна нулю;
- при a < 0 и таком показателе степени, который будет четным числом 2 · m , a 2 · m будет больше нуля;
- при a < 0 и таком показателе степени, который будет нечетным числом 2 · m − 1 , a 2 · m − 1 будет меньше нуля.
7. Равенство a n < b n будет справедливо для любого натурального n при условии, что a и b больше нуля и не равны друг другу.
8. Неравенство a m > a n будет верным при условии, что m и n – натуральные числа, m больше n и а больше нуля и не меньше единицы.
В итоге мы получили несколько равенств; если соблюсти все условия, указанные выше, то они будут тождественными. Для каждого из равенств, например, для основного свойства, можно поменять местами правую и левую часть: a m · a n = a m + n - то же самое, что и a m + n = a m · a n . В таком виде оно часто используется при упрощении выражений.
1. Начнем с основного свойства степени: равенство a m · a n = a m + n будет верным при любых натуральных m и n и действительном a . Как доказать это утверждение?
Основное определение степеней с натуральными показателями позволит нам преобразовать равенство в произведение множителей. Мы получим запись такого вида:
Это можно сократить до
(вспомним основные свойства умножения). В итоге мы получили степень числа a с натуральным показателем m + n . Таким образом, a m + n , значит, основное свойство степени доказано.
Разберем конкретный пример, подтверждающий это.
Пример 1
Итак, у нас есть две степени с основанием 2 . Их натуральные показатели - 2 и 3 соответственно. У нас получилось равенство: 2 2 · 2 3 = 2 2 + 3 = 2 5 Вычислим значения, чтобы проверить верность этого равенства.
Выполним необходимые математические действия: 2 2 · 2 3 = (2 · 2) · (2 · 2 · 2) = 4 · 8 = 32 и 2 5 = 2 · 2 · 2 · 2 · 2 = 32
В итоге у нас вышло: 2 2 · 2 3 = 2 5 . Свойство доказано.
В силу свойств умножения мы можем выполнить обобщение свойства, сформулировав его в виде трех и большего числа степеней, у которых показатели являются натуральными числами, а основания одинаковы. Если обозначить количество натуральных чисел n 1 , n 2 и др. буквой k , мы получим верное равенство:
a n 1 · a n 2 · … · a n k = a n 1 + n 2 + … + n k .
Пример 2
2. Далее нам необходимо доказать следующее свойство, которое называется свойством частного и присуще степеням с одинаковыми основаниями: это равенство a m: a n = a m − n , которое справедливо при любых натуральным m и n (причем m больше n)) и любом отличном от нуля действительном a .
Для начала поясним, каков именно смысл условий, которые упомянуты в формулировке. Если мы возьмем a, равное нулю, то в итоге у нас получится деление на нуль, чего делать нельзя (ведь 0 n = 0). Условие, чтобы число m обязательно было больше n , нужно для того, чтобы мы могли удержаться в рамках натуральных показателей степени: вычтя n из m , мы получим натуральное число. Если условие не будет соблюдено, у нас получится отрицательное число или ноль, и опять же мы выйдем за пределы изучения степеней с натуральными показателями.
Теперь мы можем перейти к доказательству. Из ранее изученного вспомним основные свойства дробей и сформулируем равенство так:
a m − n · a n = a (m − n) + n = a m
Из него можно вывести: a m − n · a n = a m
Вспомним про связь деления и умножения. Из него следует, что a m − n – частное степеней a m и a n . Это и есть доказательство второго свойства степени.
Пример 3
Подставим конкретные числа для наглядности в показатели, а основание степени обозначим π : π 5: π 2 = π 5 − 3 = π 3
3. Следующим мы разберем свойство степени произведения: (a · b) n = a n · b n при любых действительных a и b и натуральном n .
Согласно базовому определению степени с натуральным показателем мы можем переформулировать равенство так:

Вспомнив свойства умножения, запишем:
. Это значит то же самое, что и a n · b n .
Пример 4
2 3 · - 4 2 5 4 = 2 3 4 · - 4 2 5 4
Если множителей у нас три и больше, то это свойство также распространяется и на этот случай. Введем для числа множителей обозначение k и запишем:
(a 1 · a 2 · … · a k) n = a 1 n · a 2 n · … · a k n
Пример 5
С конкретными числами получим следующее верное равенство: (2 · (- 2 , 3) · a) 7 = 2 7 · (- 2 , 3) 7 · a
4. После этого мы попробуем доказать свойство частного: (a: b) n = a n: b n при любых действительных a и b , если b не равно 0 , а n – натуральное число.
Для доказательства можно использовать предыдущее свойство степени. Если (a: b) n · b n = ((a: b) · b) n = a n , а (a: b) n · b n = a n , то из этого выходит, что (a: b) n есть частное от деления a n на b n .
Пример 6
Подсчитаем пример: 3 1 2: - 0 . 5 3 = 3 1 2 3: (- 0 , 5) 3
Пример 7
Начнем сразу с примера: (5 2) 3 = 5 2 · 3 = 5 6
А теперь сформулируем цепочку равенств, которая докажет нам верность равенства: 
Если у нас в примере есть степени степеней, то это свойство справедливо для них также. Если у нас есть любые натуральные числа p , q , r , s , то верно будет:
a p q y s = a p · q · y · s
Пример 8
Добавим конкретики: (((5 , 2) 3) 2) 5 = (5 , 2) 3 · 2 · 5 = (5 , 2) 30
6. Еще одно свойство степеней с натуральным показателем, которое нам нужно доказать, – свойство сравнения.
Для начала сравним степень с нулем. Почему a n > 0 при условии, что а больше 0 ?
Если умножить одно положительное число на другое, то мы получим также положительное число. Зная этот факт, мы можем сказать, что от числа множителей это не зависит – результат умножения любого числа положительных чисел есть число положительное. А что же такое степень, как не результат умножения чисел? Тогда для любой степени a n с положительным основанием и натуральным показателем это будет верно.
Пример 9
3 5 > 0 , (0 , 00201) 2 > 0 и 34 9 13 51 > 0
Также очевидно, что степень с основанием, равным нулю, сама есть ноль. В какую бы степень мы не возводили ноль, он останется им.
Пример 10
0 3 = 0 и 0 762 = 0
Если основание степени – отрицательное число, тот тут доказательство немного сложнее, поскольку важным становится понятие четности/нечетности показателя. Возьмем для начала случай, когда показатель степени четный, и обозначим его 2 · m , где m – натуральное число.

Вспомним, как правильно умножать отрицательные числа: произведение a · a равно произведению модулей, а, следовательно, оно будет положительным числом. Тогда
и степень a 2 · m также положительны.
Пример 11
Например, (− 6) 4 > 0 , (− 2 , 2) 12 > 0 и - 2 9 6 > 0
А если показатель степени с отрицательным основанием – нечетное число? Обозначим его 2 · m − 1 .
Тогда 
Все произведения a · a , согласно свойствам умножения, положительны, их произведение тоже. Но если мы его умножим на единственное оставшееся число a , то конечный результат будет отрицателен.
Тогда получим: (− 5) 3 < 0 , (− 0 , 003) 17 < 0 и - 1 1 102 9 < 0
Как это доказать?
a n < b n – неравенство, представляющее собой произведение левых и правых частей nверных неравенств a < b . Вспомним основные свойства неравенств справедливо и a n < b n .
Пример 12
Например, верны неравенства: 3 7 < (2 , 2) 7 и 3 5 11 124 > (0 , 75) 124
8. Нам осталось доказать последнее свойство: если у нас есть две степени, основания которых одинаковы и положительны, а показатели являются натуральными числами, то та из них больше, показатель которой меньше; а из двух степеней с натуральными показателями и одинаковыми основаниями, большими единицы, больше та степень, показатель которой больше.
Докажем эти утверждения.
Для начала нам нужно убедиться, что a m < a n при условии, что m больше, чем n , и а больше 0 , но меньше 1 .Теперь сравним с нулем разность a m − a n
Вынесем a n за скобки, после чего наша разность примет вид a n · (a m − n − 1) . Ее результат будет отрицателен (поскольку отрицателен результат умножения положительного числа на отрицательное). Ведь согласно начальным условиям, m − n > 0 , тогда a m − n − 1 –отрицательно, а первый множитель положителен, как и любая натуральная степень с положительным основанием.
У нас вышло, что a m − a n < 0 и a m < a n . Свойство доказано.
Осталось привести доказательство второй части утверждения, сформулированного выше: a m > a справедливо при m > n и a > 1 . Укажем разность и вынесем a n за скобки: (a m − n − 1) .Степень a n при а, большем единицы, даст положительный результат; а сама разность также окажется положительна в силу изначальных условий, и при a > 1 степень a m − n больше единицы. Выходит, a m − a n > 0 и a m > a n , что нам и требовалось доказать.
Пример 13
Пример с конкретными числами: 3 7 > 3 2
Основные свойства степеней с целыми показателями
Для степеней с целыми положительными показателями свойства будут аналогичны, потому что целые положительные числа являются натуральными, а значит, все равенства, доказанные выше, справедливы и для них. Также они подходят и для случаев, когда показатели отрицательны или равны нулю (при условии, что само основание степени ненулевое).
Таким образом, свойства степеней такие же для любых оснований a и b (при условии, что эти числа действительны и не равны 0) и любых показателей m и n (при условии, что они являются целыми числами). Запишем их кратко в виде формул:
Определение 2
1. a m · a n = a m + n
2. a m: a n = a m − n
3. (a · b) n = a n · b n
4. (a: b) n = a n: b n
5. (a m) n = a m · n
6. a n < b n и a − n > b − n при условии целого положительного n , положительных a и b , a < b
7. a m < a n , при условии целых m и n , m > n и 0 < a < 1 , при a > 1 a m > a n .
Если основание степени равно нулю, то записи a m и a n имеют смысл только лишь в случае натуральных и положительных m и n . В итоге получим, что формулировки выше подходят и для случаев со степенью с нулевым основанием, если соблюдаются все остальные условия.
Доказательства этих свойств в данном случае несложные. Нам потребуется вспомнить, что такое степень с натуральным и целым показателем, а также свойства действий с действительными числами.
Разберем свойство степени в степени и докажем, что оно верно и для целых положительных, и для целых неположительных чисел. Начнем с доказательства равенств (a p) q = a p · q , (a − p) q = a (− p) · q , (a p) − q = a p · (− q) и (a − p) − q = a (− p) · (− q)
Условия: p = 0 или натуральное число; q – аналогично.
Если значения p и q больше 0 , то у нас получится (a p) q = a p · q . Схожее равенство мы уже доказывали раньше. Если p = 0 , то:
(a 0) q = 1 q = 1 a 0 · q = a 0 = 1
Следовательно, (a 0) q = a 0 · q
Для q = 0 все точно так же:
(a p) 0 = 1 a p · 0 = a 0 = 1
Итог: (a p) 0 = a p · 0 .
Если же оба показателя нулевые, то (a 0) 0 = 1 0 = 1 и a 0 · 0 = a 0 = 1 , значит, (a 0) 0 = a 0 · 0 .
Вспомним доказанное выше свойство частного в степени и запишем:
1 a p q = 1 q a p q
Если 1 p = 1 · 1 · … · 1 = 1 и a p q = a p · q , то 1 q a p q = 1 a p · q
Эту запись мы можем преобразовать в силу основных правил умножения в a (− p) · q .
Так же: a p - q = 1 (a p) q = 1 a p · q = a - (p · q) = a p · (- q) .
И (a - p) - q = 1 a p - q = (a p) q = a p · q = a (- p) · (- q)
Остальные свойства степени можно доказать аналогичным образом, преобразовав имеющиеся неравенства. Подробно останавливаться мы на этом не будем, укажем только сложные моменты.
Доказательство предпоследнего свойства: вспомним, a − n > b − n верно для любых целых отрицательных значений nи любых положительных a и b при условии, что a меньше b .
Тогда неравенство можно преобразовать следующим образом:
1 a n > 1 b n
Запишем правую и левую части в виде разности и выполним необходимые преобразования:
1 a n - 1 b n = b n - a n a n · b n
Вспомним, что в условии a меньше b , тогда, согласно определению степени с натуральным показателем: - a n < b n , в итоге: b n − a n > 0 .
a n · b n в итоге дает положительное число, поскольку его множители положительны. В итоге мы имеем дробь b n - a n a n · b n , которая в итоге также дает положительный результат. Отсюда 1 a n > 1 b n откуда a − n > b − n , что нам и нужно было доказать.
Последнее свойство степеней с целыми показателями доказывается аналогично свойству степеней с показателями натуральными.
Основные свойства степеней с рациональными показателями
В предыдущих статьях мы разбирали, что такое степень с рациональным (дробным) показателем. Их свойства такие же, что и у степеней с целыми показателями. Запишем:
Определение 3
1. a m 1 n 1 · a m 2 n 2 = a m 1 n 1 + m 2 n 2 при a > 0 , а если m 1 n 1 > 0 и m 2 n 2 > 0 , то при a ≥ 0 (свойство произведения степеней с одинаковыми основаниями).
2. a m 1 n 1: b m 2 n 2 = a m 1 n 1 - m 2 n 2 , если a > 0 (свойство частного).
3. a · b m n = a m n · b m n при a > 0 и b > 0 , а если m 1 n 1 > 0 и m 2 n 2 > 0 , то при a ≥ 0 и (или) b ≥ 0 (свойство произведения в дробной степени).
4. a: b m n = a m n: b m n при a > 0 и b > 0 , а если m n > 0 , то при a ≥ 0 и b > 0 (свойство частного в дробной степени).
5. a m 1 n 1 m 2 n 2 = a m 1 n 1 · m 2 n 2 при a > 0 , а если m 1 n 1 > 0 и m 2 n 2 > 0 , то при a ≥ 0 (свойство степени в степени).
6. a p < b p при условии любых положительных a и b , a < b и рациональном p при p > 0 ; если p < 0 - a p > b p (свойство сравнения степеней с равными рациональными показателями).
7. a p < a q при условии рациональных чисел p и q , p > q при 0 < a < 1 ; если a > 0 – a p > a q
Для доказательства указанных положений нам понадобится вспомнить, что такое степень с дробным показателем, каковы свойства арифметического корня n -ной степени и каковы свойства степени с целыми показателем. Разберем каждое свойство.
Согласно тому, что из себя представляет степень с дробным показателем, получим:
a m 1 n 1 = a m 1 n 1 и a m 2 n 2 = a m 2 n 2 , следовательно, a m 1 n 1 · a m 2 n 2 = a m 1 n 1 · a m 2 n 2
Свойства корня позволят нам вывести равенства:
a m 1 · m 2 n 1 · n 2 · a m 2 · m 1 n 2 · n 1 = a m 1 · n 2 · a m 2 · n 1 n 1 · n 2
Из этого получаем: a m 1 · n 2 · a m 2 · n 1 n 1 · n 2 = a m 1 · n 2 + m 2 · n 1 n 1 · n 2
Преобразуем:
a m 1 · n 2 · a m 2 · n 1 n 1 · n 2 = a m 1 · n 2 + m 2 · n 1 n 1 · n 2
Показатель степени можно записать в виде:
m 1 · n 2 + m 2 · n 1 n 1 · n 2 = m 1 · n 2 n 1 · n 2 + m 2 · n 1 n 1 · n 2 = m 1 n 1 + m 2 n 2
Это и есть доказательство. Второе свойство доказывается абсолютно так же. Запишем цепочку равенств:
a m 1 n 1: a m 2 n 2 = a m 1 n 1: a m 2 n 2 = a m 1 · n 2: a m 2 · n 1 n 1 · n 2 = = a m 1 · n 2 - m 2 · n 1 n 1 · n 2 = a m 1 · n 2 - m 2 · n 1 n 1 · n 2 = a m 1 · n 2 n 1 · n 2 - m 2 · n 1 n 1 · n 2 = a m 1 n 1 - m 2 n 2
Доказательства остальных равенств:
a · b m n = (a · b) m n = a m · b m n = a m n · b m n = a m n · b m n ; (a: b) m n = (a: b) m n = a m: b m n = = a m n: b m n = a m n: b m n ; a m 1 n 1 m 2 n 2 = a m 1 n 1 m 2 n 2 = a m 1 n 1 m 2 n 2 = = a m 1 m 2 n 1 n 2 = a m 1 · m 2 n 1 n 2 = = a m 1 · m 2 n 2 · n 1 = a m 1 · m 2 n 2 · n 1 = a m 1 n 1 · m 2 n 2
Следующее свойство: докажем, что для любых значений a и b больше 0 , если а меньше b , будет выполняться a p < b p , а для p больше 0 - a p > b p
Представим рациональное число p как m n . При этом m –целое число, n –натуральное. Тогда условия p < 0 и p > 0 будут распространяться на m < 0 и m > 0 . При m > 0 и a < b имеем (согласно свойству степени с целым положительным показателем), что должно выполняться неравенство a m < b m .
Используем свойство корней и выведем: a m n < b m n
Учитывая положительность значений a и b , перепишем неравенство как a m n < b m n . Оно эквивалентно a p < b p .
Таким же образом при m < 0 имеем a a m > b m , получаем a m n > b m n значит, a m n > b m n и a p > b p .
Нам осталось привести доказательство последнего свойства. Докажем, что для рациональных чисел p и q , p > q при 0 < a < 1 a p < a q , а при a > 0 будет верно a p > a q .
Рациональные числа p и q можно привести к общему знаменателю и получить дроби m 1 n и m 2 n
Здесь m 1 и m 2 – целые числа, а n – натуральное. Если p > q , то m 1 > m 2 (учитывая правило сравнения дробей). Тогда при 0 < a < 1 будет верно a m 1 < a m 2 , а при a > 1 – неравенство a 1 m > a 2 m .
Их можно переписать в следующем виде:
a m 1 n < a m 2 n a m 1 n > a m 2 n
Тогда можно сделать преобразования и получить в итоге:
a m 1 n < a m 2 n a m 1 n > a m 2 n
Подводим итог: при p > q и 0 < a < 1 верно a p < a q , а при a > 0 – a p > a q .
Основные свойства степеней с иррациональными показателями
На такую степень можно распространить все описанные выше свойства, которыми обладает степень с рациональными показателями. Это следует из самого ее определения, которое мы давали в одной из предыдущих статей. Сформулируем кратко эти свойства (условия: a > 0 , b > 0 , показатели p и q – иррациональные числа):
Определение 4
1. a p · a q = a p + q
2. a p: a q = a p − q
3. (a · b) p = a p · b p
4. (a: b) p = a p: b p
5. (a p) q = a p · q
6. a p < b p верно при любых положительных a и b , если a < b и p – иррациональное число больше 0 ; если p меньше 0 , то a p > b p
7. a p < a q верно, если p и q – иррациональные числа, p < q , 0 < a < 1 ; если a > 0 , то a p > a q .
Таким образом, все степени, показатели которых p и q являются действительными числами, при условии a > 0 обладают теми же свойствами.
Если вы заметили ошибку в тексте, пожалуйста, выделите её и нажмите Ctrl+Enter
В предыдущей статье мы рассказали, что из себя представляют одночлены. В этом материале разберем, как решать примеры и задачи, в которых они применяются. Здесь будут рассмотрены такие действия, как вычитание, сложение, умножение, деление одночленов и возведение их в степень с натуральным показателем. Мы покажем, как определяются такие операции, обозначим основные правила их выполнения и то, что должно получится в результате. Все теоретические положения, как обычно, будут проиллюстрированы примерами задач с описаниями решений.
Удобнее всего работать со стандартной записью одночленов, поэтому все выражения, которые будут использованы в статье, мы приводим в стандартном виде. Если изначально они заданы иначе, рекомендуется сначала привести их к общепринятой форме.
Правила сложения и вычитания одночленов
Наиболее простые действия, которые можно проводить с одночленами – это вычитание и сложение. В общем случае результатом этих действий будет являться многочлен (одночлен возможен в некоторых частных случаях).
Когда мы складываем или вычитаем одночлены, сначала записываем в общепринятой форме соответствующую сумму и разность, после чего упрощаем получившееся выражение. Если есть подобные слагаемые, их нужно привести, скобки – раскрыть. Поясним на примере.
Пример 1
Условие: выполните сложение одночленов − 3 · x и 2 , 72 · x 3 · y 5 · z .
Решение
Запишем сумму исходных выражений. Добавим скобки и поставим между ними плюс. У нас получится следующее:
(− 3 · x) + (2 , 72 · x 3 · y 5 · z)
Когда мы выполним раскрытие скобок, получится - 3 · x + 2 , 72 · x 3 · y 5 · z . Это многочлен, записанный в стандартной форме, который и будет результатом сложения данных одночленов.
Ответ: (− 3 · x) + (2 , 72 · x 3 · y 5 · z) = − 3 · x + 2 , 72 · x 3 · y 5 · z .
Если у нас задано три, четыре и больше слагаемых, мы осуществляем это действие точно так же.
Пример 2
Условие: проведите в правильном порядке указанные действия с многочленами
3 · a 2 - (- 4 · a · c) + a 2 - 7 · a 2 + 4 9 - 2 2 3 · a · c
Решение
Начнем с раскрытия скобок.
3 · a 2 + 4 · a · c + a 2 - 7 · a 2 + 4 9 - 2 2 3 · a · c
Мы видим, что полученное выражение можно упростить путем приведения подобных слагаемых:
3 · a 2 + 4 · a · c + a 2 - 7 · a 2 + 4 9 - 2 2 3 · a · c = = (3 · a 2 + a 2 - 7 · a 2) + 4 · a · c - 2 2 3 · a · c + 4 9 = = - 3 · a 2 + 1 1 3 · a · c + 4 9
У нас получился многочлен, который и будет результатом данного действия.
Ответ: 3 · a 2 - (- 4 · a · c) + a 2 - 7 · a 2 + 4 9 - 2 2 3 · a · c = - 3 · a 2 + 1 1 3 · a · c + 4 9
В принципе, мы можем выполнить сложение и вычитание двух одночленов с некоторыми ограничениями так, чтобы получить в итоге одночлен. Для этого нужно соблюсти некоторые условия, касающиеся слагаемых и вычитаемых одночленов. О том, как это делается, мы расскажем в отдельной статье.
Правила умножения одночленов
Действие умножения не налагает никаких ограничений на множители. Умножаемые одночлены не должны соответствовать никаким дополнительным условиям, чтобы в результате получится одночлен.
Чтобы выполнить умножение одночленов, нужно выполнить следующие шаги:
- Правильно записать произведение.
- Раскрыть скобки в полученном выражении.
- Сгруппировать по возможности множители с одинаковыми переменными и числовые множители отдельно.
- Выполнить необходимые действия с числами и применить к оставшимся множителям свойство умножения степеней с одинаковыми основаниями.
Посмотрим, как это делается на практике.
Пример 3
Условие: выполните умножение одночленов 2 · x 4 · y · z и - 7 16 · t 2 · x 2 · z 11 .
Решение
Начнем с составления произведения.
Раскрываем в нем скобки и получаем следующее:
2 · x 4 · y · z · - 7 16 · t 2 · x 2 · z 11
2 · - 7 16 · t 2 · x 4 · x 2 · y · z 3 · z 11
Все, что нам осталось сделать – это умножить числа в первых скобках и применить свойство степеней для вторых. В итоге получим следующее:
2 · - 7 16 · t 2 · x 4 · x 2 · y · z 3 · z 11 = - 7 8 · t 2 · x 4 + 2 · y · z 3 + 11 = = - 7 8 · t 2 · x 6 · y · z 14
Ответ: 2 · x 4 · y · z · - 7 16 · t 2 · x 2 · z 11 = - 7 8 · t 2 · x 6 · y · z 14 .
Если у нас в условии стоят три многочлена и больше, мы умножаем их по точно такому же алгоритму. Более подробно вопрос умножения одночленов мы рассмотрим в рамках отдельного материала.
Правила возведения одночлена в степень
Мы знаем, что степенью с натуральным показателем называют произведение некоторого числа одинаковых множителей. На их количество указывает число в показателе. Согласно этому определению, возведение одночлена в степень равнозначно умножению указанного числа одинаковых одночленов. Посмотрим, как это делается.
Пример 4
Условие: выполните возведение одночлена − 2 · a · b 4 в степень 3 .
Решение
Мы можем заменить возведение в степень на умножение 3 -х одночленов − 2 · a · b 4 . Запишем и получим нужный ответ:
(− 2 · a · b 4) 3 = (− 2 · a · b 4) · (− 2 · a · b 4) · (− 2 · a · b 4) = = ((− 2) · (− 2) · (− 2)) · (a · a · a) · (b 4 · b 4 · b 4) = − 8 · a 3 · b 12
Ответ: (− 2 · a · b 4) 3 = − 8 · a 3 · b 12 .
А как быть в том случае, когда степень имеет большой показатель? Записывать большое количество множителей неудобно. Тогда для решения такой задачи нам надо применить свойства степени, а именно свойство степени произведения и свойство степени в степени.
Решим задачу, которую мы привели выше, указанным способом.
Пример 5
Условие: выполните возведение − 2 · a · b 4 в третью степень.
Решение
Зная свойство степени в степени, мы можем перейти к выражению следующего вида:
(− 2 · a · b 4) 3 = (− 2) 3 · a 3 · (b 4) 3 .
После этого мы возводим в степень - 2 и применяем свойство степени в степени:
(− 2) 3 · (a) 3 · (b 4) 3 = − 8 · a 3 · b 4 · 3 = − 8 · a 3 · b 12 .
Ответ: − 2 · a · b 4 = − 8 · a 3 · b 12 .
Возведению одночлена в степень мы также посвятили отдельную статью.
Правила деления одночленов
Последнее действие с одночленами, которое мы разберем в данном материале, – деление одночлена на одночлен. В результате мы должны получить рациональную (алгебраическую) дробь (в некоторых случаях возможно получение одночлена). Сразу уточним, что деление на нулевой одночлен не определяется, поскольку не определяется деление на 0.
Для выполнения деления нам нужно записать указанные одночлены в форме дроби и сократить ее, если есть такая возможность.
Пример 6
Условие: выполните деление одночлена − 9 · x 4 · y 3 · z 7 на − 6 · p 3 · t 5 · x 2 · y 2 .
Решение
Начнем с записи одночленов в форме дроби.
9 · x 4 · y 3 · z 7 - 6 · p 3 · t 5 · x 2 · y 2
Эту дробь можно сократить. После выполнения этого действия получим:
3 · x 2 · y · z 7 2 · p 3 · t 5
Ответ: - 9 · x 4 · y 3 · z 7 - 6 · p 3 · t 5 · x 2 · y 2 = 3 · x 2 · y · z 7 2 · p 3 · t 5 .
Условия, при которых в результате деления одночленов мы получим одночлен, приводятся в отдельной статье.
Если вы заметили ошибку в тексте, пожалуйста, выделите её и нажмите Ctrl+Enter